Photon Cross Sections
by Monica Jaszczak
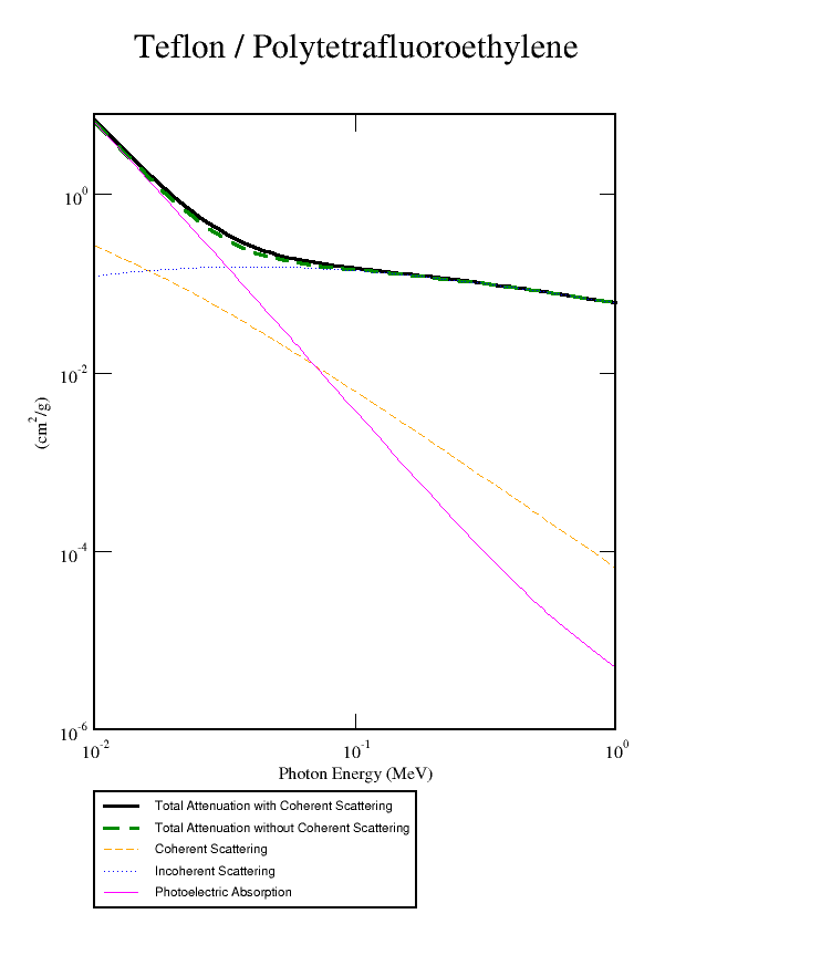
This calculation by XCOM was performed for an energy range of 10 - 1000 keV.
Constituents (Atomic Number: Fraction by Weight)
Z=6 : 0.240183 Z=9 : 0.759817
| Edge | (required) Photon Energy |
Scattering | Photoelectric Absorption |
Pair Production | Total Attenuation | |||
Coherent |
Incoherent |
In Nuclear Field |
In Electron Field |
With Coherent Scattering |
Without Coherent Scattering |
|||
| MeV | cm2/g | cm2/g | cm2/g | cm2/g | cm2/g | cm2/g | cm2/g | |
| 1.000E-02 | 2.71E-01 | 1.22E-01 | 6.41E+00 | 0.00E+00 | 0.00E+00 | 6.81E+00 | 6.53E+00 | |
| 1.100E-02 | 2.38E-01 | 1.27E-01 | 4.76E+00 | 0.00E+00 | 0.00E+00 | 5.13E+00 | 4.89E+00 | |
| 1.200E-02 | 2.12E-01 | 1.31E-01 | 3.63E+00 | 0.00E+00 | 0.00E+00 | 3.97E+00 | 3.76E+00 | |
| 1.300E-02 | 1.90E-01 | 1.34E-01 | 2.82E+00 | 0.00E+00 | 0.00E+00 | 3.14E+00 | 2.95E+00 | |
| 1.400E-02 | 1.71E-01 | 1.36E-01 | 2.23E+00 | 0.00E+00 | 0.00E+00 | 2.54E+00 | 2.37E+00 | |
| 1.500E-02 | 1.55E-01 | 1.39E-01 | 1.79E+00 | 0.00E+00 | 0.00E+00 | 2.09E+00 | 1.93E+00 | |
| 1.600E-02 | 1.42E-01 | 1.41E-01 | 1.46E+00 | 0.00E+00 | 0.00E+00 | 1.74E+00 | 1.60E+00 | |
| 1.700E-02 | 1.30E-01 | 1.43E-01 | 1.21E+00 | 0.00E+00 | 0.00E+00 | 1.48E+00 | 1.35E+00 | |
| 1.800E-02 | 1.20E-01 | 1.44E-01 | 1.00E+00 | 0.00E+00 | 0.00E+00 | 1.27E+00 | 1.15E+00 | |
| 1.900E-02 | 1.11E-01 | 1.46E-01 | 8.45E-01 | 0.00E+00 | 0.00E+00 | 1.10E+00 | 9.91E-01 | |
| 2.000E-02 | 1.03E-01 | 1.47E-01 | 7.17E-01 | 0.00E+00 | 0.00E+00 | 9.67E-01 | 8.64E-01 | |
| 2.200E-02 | 8.88E-02 | 1.49E-01 | 5.28E-01 | 0.00E+00 | 0.00E+00 | 7.66E-01 | 6.77E-01 | |
| 2.400E-02 | 7.77E-02 | 1.51E-01 | 3.99E-01 | 0.00E+00 | 0.00E+00 | 6.28E-01 | 5.50E-01 | |
| 2.600E-02 | 6.85E-02 | 1.53E-01 | 3.08E-01 | 0.00E+00 | 0.00E+00 | 5.29E-01 | 4.61E-01 | |
| 2.800E-02 | 6.08E-02 | 1.54E-01 | 2.42E-01 | 0.00E+00 | 0.00E+00 | 4.57E-01 | 3.96E-01 | |
| 3.000E-02 | 5.43E-02 | 1.54E-01 | 1.94E-01 | 0.00E+00 | 0.00E+00 | 4.02E-01 | 3.48E-01 | |
| 3.200E-02 | 4.88E-02 | 1.55E-01 | 1.57E-01 | 0.00E+00 | 0.00E+00 | 3.61E-01 | 3.12E-01 | |
| 3.400E-02 | 4.41E-02 | 1.55E-01 | 1.29E-01 | 0.00E+00 | 0.00E+00 | 3.28E-01 | 2.84E-01 | |
| 3.600E-02 | 4.00E-02 | 1.55E-01 | 1.07E-01 | 0.00E+00 | 0.00E+00 | 3.03E-01 | 2.63E-01 | |
| 3.800E-02 | 3.65E-02 | 1.56E-01 | 8.97E-02 | 0.00E+00 | 0.00E+00 | 2.82E-01 | 2.45E-01 | |
| 4.000E-02 | 3.34E-02 | 1.55E-01 | 7.59E-02 | 0.00E+00 | 0.00E+00 | 2.65E-01 | 2.31E-01 | |
| 4.200E-02 | 3.06E-02 | 1.55E-01 | 6.47E-02 | 0.00E+00 | 0.00E+00 | 2.51E-01 | 2.20E-01 | |
| 4.400E-02 | 2.82E-02 | 1.55E-01 | 5.56E-02 | 0.00E+00 | 0.00E+00 | 2.39E-01 | 2.11E-01 | |
| 4.600E-02 | 2.61E-02 | 1.55E-01 | 4.81E-02 | 0.00E+00 | 0.00E+00 | 2.29E-01 | 2.03E-01 | |
| 4.800E-02 | 2.42E-02 | 1.55E-01 | 4.18E-02 | 0.00E+00 | 0.00E+00 | 2.21E-01 | 1.96E-01 | |
| 5.000E-02 | 2.25E-02 | 1.54E-01 | 3.66E-02 | 0.00E+00 | 0.00E+00 | 2.13E-01 | 1.91E-01 | |
| 5.200E-02 | 2.09E-02 | 1.54E-01 | 3.21E-02 | 0.00E+00 | 0.00E+00 | 2.07E-01 | 1.86E-01 | |
| 5.400E-02 | 1.96E-02 | 1.53E-01 | 2.84E-02 | 0.00E+00 | 0.00E+00 | 2.01E-01 | 1.82E-01 | |
| 5.600E-02 | 1.83E-02 | 1.53E-01 | 2.52E-02 | 0.00E+00 | 0.00E+00 | 1.96E-01 | 1.78E-01 | |
| 5.800E-02 | 1.72E-02 | 1.52E-01 | 2.24E-02 | 0.00E+00 | 0.00E+00 | 1.92E-01 | 1.75E-01 | |
| 6.000E-02 | 1.62E-02 | 1.52E-01 | 2.01E-02 | 0.00E+00 | 0.00E+00 | 1.88E-01 | 1.72E-01 | |
| 6.400E-02 | 1.44E-02 | 1.51E-01 | 1.62E-02 | 0.00E+00 | 0.00E+00 | 1.81E-01 | 1.67E-01 | |
| 6.800E-02 | 1.28E-02 | 1.49E-01 | 1.33E-02 | 0.00E+00 | 0.00E+00 | 1.76E-01 | 1.63E-01 | |
| 7.200E-02 | 1.15E-02 | 1.48E-01 | 1.10E-02 | 0.00E+00 | 0.00E+00 | 1.71E-01 | 1.59E-01 | |
| 7.600E-02 | 1.04E-02 | 1.47E-01 | 9.22E-03 | 0.00E+00 | 0.00E+00 | 1.67E-01 | 1.56E-01 | |
| 8.000E-02 | 9.49E-03 | 1.46E-01 | 7.79E-03 | 0.00E+00 | 0.00E+00 | 1.63E-01 | 1.54E-01 | |
| 8.400E-02 | 8.66E-03 | 1.45E-01 | 6.63E-03 | 0.00E+00 | 0.00E+00 | 1.60E-01 | 1.51E-01 | |
| 8.800E-02 | 7.93E-03 | 1.44E-01 | 5.69E-03 | 0.00E+00 | 0.00E+00 | 1.57E-01 | 1.49E-01 | |
| 9.200E-02 | 7.29E-03 | 1.42E-01 | 4.92E-03 | 0.00E+00 | 0.00E+00 | 1.55E-01 | 1.47E-01 | |
| 9.600E-02 | 6.72E-03 | 1.41E-01 | 4.27E-03 | 0.00E+00 | 0.00E+00 | 1.52E-01 | 1.46E-01 | |
| 1.000E-01 | 6.22E-03 | 1.40E-01 | 3.74E-03 | 0.00E+00 | 0.00E+00 | 1.50E-01 | 1.44E-01 | |
| 1.100E-01 | 5.18E-03 | 1.37E-01 | 2.73E-03 | 0.00E+00 | 0.00E+00 | 1.45E-01 | 1.40E-01 | |
| 1.200E-01 | 4.39E-03 | 1.35E-01 | 2.06E-03 | 0.00E+00 | 0.00E+00 | 1.41E-01 | 1.37E-01 | |
| 1.300E-01 | 3.76E-03 | 1.32E-01 | 1.58E-03 | 0.00E+00 | 0.00E+00 | 1.37E-01 | 1.34E-01 | |
| 1.400E-01 | 3.25E-03 | 1.29E-01 | 1.24E-03 | 0.00E+00 | 0.00E+00 | 1.34E-01 | 1.31E-01 | |
| 1.500E-01 | 2.84E-03 | 1.27E-01 | 9.93E-04 | 0.00E+00 | 0.00E+00 | 1.31E-01 | 1.28E-01 | |
| 1.600E-01 | 2.51E-03 | 1.25E-01 | 8.06E-04 | 0.00E+00 | 0.00E+00 | 1.28E-01 | 1.26E-01 | |
| 1.700E-01 | 2.23E-03 | 1.23E-01 | 6.62E-04 | 0.00E+00 | 0.00E+00 | 1.26E-01 | 1.23E-01 | |
| 1.800E-01 | 1.99E-03 | 1.21E-01 | 5.51E-04 | 0.00E+00 | 0.00E+00 | 1.23E-01 | 1.21E-01 | |
| 1.900E-01 | 1.79E-03 | 1.19E-01 | 4.63E-04 | 0.00E+00 | 0.00E+00 | 1.21E-01 | 1.19E-01 | |
| 2.000E-01 | 1.62E-03 | 1.17E-01 | 3.93E-04 | 0.00E+00 | 0.00E+00 | 1.19E-01 | 1.17E-01 | |
| 2.200E-01 | 1.34E-03 | 1.13E-01 | 2.91E-04 | 0.00E+00 | 0.00E+00 | 1.15E-01 | 1.14E-01 | |
| 2.400E-01 | 1.13E-03 | 1.10E-01 | 2.21E-04 | 0.00E+00 | 0.00E+00 | 1.12E-01 | 1.10E-01 | |
| 2.600E-01 | 9.63E-04 | 1.07E-01 | 1.73E-04 | 0.00E+00 | 0.00E+00 | 1.08E-01 | 1.07E-01 | |
| 2.800E-01 | 8.31E-04 | 1.04E-01 | 1.37E-04 | 0.00E+00 | 0.00E+00 | 1.05E-01 | 1.05E-01 | |
| 3.000E-01 | 7.25E-04 | 1.02E-01 | 1.11E-04 | 0.00E+00 | 0.00E+00 | 1.03E-01 | 1.02E-01 | |
| 3.200E-01 | 6.38E-04 | 9.95E-02 | 9.18E-05 | 0.00E+00 | 0.00E+00 | 1.00E-01 | 9.96E-02 | |
| 3.400E-01 | 5.65E-04 | 9.73E-02 | 7.67E-05 | 0.00E+00 | 0.00E+00 | 9.79E-02 | 9.74E-02 | |
| 3.600E-01 | 5.05E-04 | 9.52E-02 | 6.48E-05 | 0.00E+00 | 0.00E+00 | 9.58E-02 | 9.53E-02 | |
| 3.800E-01 | 4.53E-04 | 9.33E-02 | 5.54E-05 | 0.00E+00 | 0.00E+00 | 9.38E-02 | 9.33E-02 | |
| 4.000E-01 | 4.09E-04 | 9.14E-02 | 4.78E-05 | 0.00E+00 | 0.00E+00 | 9.19E-02 | 9.15E-02 | |
| 4.200E-01 | 3.71E-04 | 8.97E-02 | 4.16E-05 | 0.00E+00 | 0.00E+00 | 9.01E-02 | 8.97E-02 | |
| 4.400E-01 | 3.38E-04 | 8.80E-02 | 3.65E-05 | 0.00E+00 | 0.00E+00 | 8.84E-02 | 8.80E-02 | |
| 4.600E-01 | 3.10E-04 | 8.64E-02 | 3.23E-05 | 0.00E+00 | 0.00E+00 | 8.68E-02 | 8.65E-02 | |
| 4.800E-01 | 2.84E-04 | 8.49E-02 | 2.88E-05 | 0.00E+00 | 0.00E+00 | 8.53E-02 | 8.50E-02 | |
| 5.000E-01 | 2.62E-04 | 8.35E-02 | 2.58E-05 | 0.00E+00 | 0.00E+00 | 8.38E-02 | 8.35E-02 | |
| 5.200E-01 | 2.42E-04 | 8.22E-02 | 2.32E-05 | 0.00E+00 | 0.00E+00 | 8.24E-02 | 8.22E-02 | |
| 5.400E-01 | 2.25E-04 | 8.09E-02 | 2.11E-05 | 0.00E+00 | 0.00E+00 | 8.11E-02 | 8.09E-02 | |
| 5.600E-01 | 2.09E-04 | 7.96E-02 | 1.92E-05 | 0.00E+00 | 0.00E+00 | 7.98E-02 | 7.96E-02 | |
| 5.800E-01 | 1.95E-04 | 7.84E-02 | 1.75E-05 | 0.00E+00 | 0.00E+00 | 7.86E-02 | 7.84E-02 | |
| 6.000E-01 | 1.82E-04 | 7.73E-02 | 1.61E-05 | 0.00E+00 | 0.00E+00 | 7.75E-02 | 7.73E-02 | |
| 8.000E-01 | 1.03E-04 | 6.79E-02 | 8.11E-06 | 0.00E+00 | 0.00E+00 | 6.80E-02 | 6.79E-02 | |
| 1.000E+00 | 6.57E-05 | 6.11E-02 | 5.04E-06 | 0.00E+00 | 0.00E+00 | 6.11E-02 | 6.11E-02 | |
Return to Data Spectrum Teflon Mini-FAQ Page.
Return to Data Spectrum Main FAQ Page.
Contact Us
If you would like to learn more about our products or want to talk with someone about the use of our Phantom products to obtain ACR accreditation feel free to call us at
(919) 732-6800
or complete our contact form.
Click here for questions regarding ACR accreditation.